西藏自治区地理信息产业协会
  • 首页
  • 协会概况
    • 协会简介
    • 协会领导
    • 协会章程
    • 协会制度
  • 加入协会
    • 入会须知
    • 在线申请
  • 新闻中心
    • 产业要闻
    • 协会动态
    • 通知公告
  • 网上报名
    • 工程奖评选网上申报
    • 会议报名
    • 活动报名
  • 党建工作
  • 会员单位
    • 会长单位
    • 副会长单位
    • 理事、监事单位
    • 会员单位
  • 联系我们
  • 下载中心
    • 文件下载
    • 软件下载
  • 证书查询
banner
  1. 西藏自治区地理信息产业协会首页
  2. 新闻中心
  3. 通知公告

通知公告

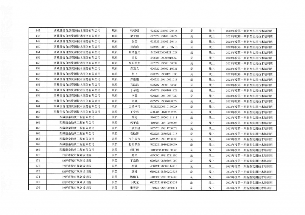
西藏地理信息2023年度第一期新型实用技术培训班报名表

通知公告 2023年9月4日 上午11:00 990
西藏地理信息2023年度第一期新型实用技术培训班报名表
西藏地理信息2023年度第一期新型实用技术培训班报名表
西藏地理信息2023年度第一期新型实用技术培训班报名表
西藏地理信息2023年度第一期新型实用技术培训班报名表
西藏地理信息2023年度第一期新型实用技术培训班报名表
西藏地理信息2023年度第一期新型实用技术培训班报名表
西藏地理信息2023年度第一期新型实用技术培训班报名表
西藏地理信息2023年度第一期新型实用技术培训班报名表
西藏地理信息2023年度第一期新型实用技术培训班报名表
西藏地理信息2023年度第一期新型实用技术培训班报名表

上一篇:关于2021地理信息产业优秀工程申报工作变动的通知

下一篇:西藏地理信息2023年度第一期新型实用技术培训班学员结业名单公示

相关新闻

  • 协会可协助会员单位及个人会员办理边防证
  • 西藏地理信息2023年度第一期新型实用技术培训班学员结业名单公示
  • 关于开展我区高校毕业生市场就业补贴网上申报工作的公告
  • 西藏自治区市县国土空间规划计费指导意见(暂行)
  • 关于2021地理信息产业优秀工程申报工作变动的通知
  • 关于召开2019年第二期地理信息新技术交流及培训会的通知
  • 关于征集“地理信息产业创新示范库”相关内容及开展“创新秀”遴选工作的通知

关于我们

  • 关于我们
    • 协会简介
    • 协会领导
    • 协会章程
    • 协会制度
  • 新闻中心
  • 联系我们

最新发布

  • 西藏地理信息2023年度第一期新型实用技术培训班学员结业名单公示
  • 西藏地理信息2023年度第一期新型实用技术培训班报名表
  • 测绘资质复审换证培训会简报
  • 关于同意成立中共西藏自然资源和应急救援及地理信息产业协会联合党支部委员会的通知
  • FME应用培训会简报
  • 测绘资质标准下载
  • “道尔顿教育理念”交流会简报
  • 三维实景模型培训简报
  • 关于2021地理信息产业优秀工程申报工作变动的通知
  • 西藏德众地理信息有限公司编制的工布江达“双评价”被西藏自治区自然资源厅选为优秀案例
  • 协会简介
  • 协会领导
  • 协会章程
  • 协会制度
  • 联系我们

地址:西藏拉萨市达孜工业园区虎峰大道11号

电话:0891-6501346 传真:0891-6501346 邮箱: 409088075@qq.com

Copyright © 西藏自治区地理信息产业协会 版权所有 藏ICP备2021000262号-1

技术支持:拉萨网站建设

拉萨公司注册